栖凤楼论坛信息社区,快活林信息发布论坛,花满楼论坛深圳,新茶论坛

ÉèΪÊ×Ò³|ÊÕ²Ø|ÁªÏµÎÒÃÇ
µ±Ç°Î»ÖãºÊ×Ò³ > 6.25ÍÁµØÈÕ > ÍøÉÏÂÛ̳ > µÚ¶þÊ®¶þ¸öÈ«¹ú¡°ÍÁµØÈÕ¡± > ½¨Éè4ÒÚ͏߱ê×¼»ù±¾Å©Ìï
¡¡
½¨Éè4ÒÚ͏߱ê×¼»ù±¾Å©Ìï

»ù±¾Å©Ìï±£»¤ÆÀ¼Û¿ÉÒÔ½è¼øLESAÌåϵ

·¢²¼Ê±¼ä:2013-07-09 17:56ÎÄÕÂÀ´Ô´:ÖйúÍÁµØÑ§»á ´òÓ¡

¡¡¡¡ÉòÑôũҵ´óѧ Ç®·ï¿ý

¡¡¡¡Ò»¡¢Ä¿Ç°»ù±¾Å©Ìï»®¶¨ÖдæÔÚµÄÎÊÌâ

¡¡¡¡1¡¢¸ûµØÈëÑ¡»ù±¾Å©ÌïµÄÌõ¼þÄ£ºý£¬ÎÞ¿ÆÑ§Á¿»¯±ê×¼

¡¡¡¡Ä¿Ç°¶Ô¸ûµØÈëÑ¡»ù±¾Å©ÌïÌõ¼þ½öÓÐ80%ÒÔÉϸûµØ±ÈÀýµÄÕþ²ß¹æ¶¨£¬¶øÃ»ÓоßÌåµÄ»ù±¾Å©ÌïÌõ¼þÌØÕ÷£¬Ôì³É»ù±¾Å©Ìï¸ÅÄîÄ£ºý£¬ÈëÑ¡»ù±¾Å©ÌïµÄ¸ûµØÌõ¼þÌØÕ÷½ç¶¨²»Ç壬ÈÝÒ×µ¼ÖÂÏØÇøÔÚ»®¶¨»ù±¾Å©Ìï¹ý³ÌÖУ¬¾­¼Ã·¢Õ¹½Ï¿ìÇøÓò²»Áô»ù±¾Å©Ì¾­¼Ã·¢Õ¹½ÏÂýÇøÓò»ù±¾Å©Ìï±£»¤Ö¸±ê´ï100%£¬ÓõعØÏµ»ûÐη¢Õ¹¡£

¡¡¡¡2¡¢»ù±¾Å©Ìï»®¶¨ÖØÔÚÐÐÕþÖ´ÐУ¬¶øÈ±·¦ÆÀ¼ÛÌåϵ

¡¡¡¡»ù±¾Å©ÌïµÄ»®¶¨±»ÈÏΪÊÇÒ»ÏîÕþ²ßÐÔ²Ù×÷¹¤×÷£¬Ö÷ÒªÒÀ¾Ý¹ú¼Ò¹æ³Ì£¬»ù±¾Å©Ìï»®¶¨ÒÔÍê³ÉÉϼ¶Ï´ïÖ¸±êΪĿ±ê£¬ÒÔÏçÕòΪָ±êµÄ¾ßÌåÂäʵµ¥Î»¡£Ä¿Ç°»¹È±·¦Ò»Ì׿ÆÑ§µÄ»ù±¾Å©Ìï»®¶¨ÆÀ¼ÛÌåϵ£¬¶ø´«Í³µÄ¸ûµØÆÀ¼Û¶àÆ«ÖØÔÚ¸ûµØÖÊÁ¿ÆÀ¼ÛÁìÓò£¬»ù±¾Å©Ìï»®¶¨ÆÀ¼Û¶¼ÊÇͨ¹ý¡°ÄÃÀ´½èÓá±ÆäËûÆÀ¼Û·½·¨½øÐС£

¡¡¡¡3¡¢²»ÄÜÔ¤Áô¾­¼Ã½¨ÉèËù±ØÐèµÄ¸ûµØ£¬»®¶¨µÄ»ù±¾Å©ÌïÓëÉç»á·¢Õ¹³åÍ»ÑÏÖØ¡¢Ð­µ÷¶È²î

¡¡¡¡ÔÚ»ù±¾Å©ÌïÊÇ¡°¸ßѹÏß¡±µÄ±³¾°Ï£¬ÎªÁ˾­¼Ã·¢Õ¹ÓõØÐèÇó£¬Ò»Ð©ÇøÓò»ù±¾Å©Ìï±»µØ·½Õþ¸®ÓɹýÈ¥µÄ²¿·Öµ÷³ö·¢Õ¹µ½ÏÖÔÚÈ«²¿µ÷³ö£¬Î¥±³Á˹ú¼Ò·¨¹æÕþ²ßµÄÖ÷Ö¼£¬Æä¸ù±¾Ô­ÒòÊÇûÓп¼ÂÇ»ù±¾Å©ÌïÓëÉç»á¾­¼Ã·¢Õ¹µÄЭµ÷ÐÔ£¬Ã¤Ä¿µÄ»®¶¨»ù±¾Å©Ìµ¼Ö»ù±¾Å©ÌïÎȶ¨ÐԲ

¡¡¡¡4¡¢¶Ô»ù±¾Å©Ì﹦ÄÜÈÏʶ½ÏΪµ¥Ò»£¬»ù±¾Å©ÌïÆäËû¹¦Äܱ»Èõ»¯

¡¡¡¡»ù±¾Å©Ìï»®¶¨ÖØÔÚ¿¼ÂÇÆäÉú²ú¹¦ÄÜ£¬ºöÂÔÁË»ù±¾Å©ÌïµÄÉú̬¾°¹Û¼ÛÖµ¹¦ÄÜ£¬³ÇÊÐÖܱßûÓÐÁË»ù±¾Å©ÌҲ¾ÍʧȥÁ˳ÇÊÐÖØÒªµÄ¡°ÂÌÐÄ¡±ºÍ¡°ÂÌ´ø¡±£¬³ÇÊÐÖ®¼äûÓÐÁË»ù±¾Å©ÌÒâζ×ųÇÊз¢Õ¹ÓõØÊ§È¥ÁËÊø¸¿£¬³ÇÊÐÖ®¼ä¸ôÀë¾àÀëÔ½À´Ô½½ü£¬µ¼Ö³ÇÊÐÖ®¼ä²»¶ÏÂûÑÓ£¬Ì¯´ó±ýʽÎÞÐòÀ©ÕÅ£¬¡°Âí·³ÇÊС±Ð§Ó¦ÐγÉ¡£»ù±¾Å©Ìï»®¶¨Öл¹ºöÂÔÁËÆä¶ÔÅ©ÃñµÄÉú´æ¾ÍÒµµÈ±£ÕϹ¦ÄÜ£¬Å©Ãñʧȥ»ù±¾Å©ÌºÜÈÝÒײúÉú¡°ÉϰàÎÞ¸Ú¡¢ÎñÅ©Î޵ء¢Éç±£ÎÞ·Ý¡±µÄÈýÎÞÅ©Ãñ£¬»á¶ÔÉç»áÎȶ¨²úÉúÖØÒªÓ°Ïì¡£

¡¡¡¡¶þ¡¢LESAÆÀ¼ÛÌåϵ

¡¡¡¡±ÊÕßÈÏΪ£¬µ±Ç°ÎÒ¹úÕë¶ÔÅ©µØ±£»¤µÄÆÀ¼Û£¬Ö÷Òª¼¯ÖÐÔÚÅ©µØÖÊÁ¿ÆÀ¼Û½×¶Î£¬¶øÈ±ÉÙ¶ÔÅ©µØÁ¢µØ»·¾³Ìõ¼þµÄ·ÖÎö£¬ÕâÊǵ¼ÖÂÅ©µØ±£»¤µÄÎȶ¨ÐÔ²îµÄ¸ù±¾Ô­Òò¡£Òò´Ë£¬½ñºóÎÒ¹ú»ù±¾Å©Ìï±£»¤µÄÆÀ¼ÛÑо¿ÖÐÓ¦¸Ã½è¼øLESAÌåϵ£¬¼È¿¼ÂǽÏÓŵÄÖÊÁ¿Ìõ¼þ£¬ÓÖ¿¼ÂÇÆäÁ¢µØ»·¾³Ìõ¼þ£¬²ÅÄܱ£ÕÏ»ù±¾Å©Ìï±£»¤µÄÓÀ¾ÃÎȶ¨ÐÔ¡£LESAÆÀ¼ÛÌåϵµÄÖ÷ÒªÄÚÈÝΪ£º

¡¡¡¡1¡¢¿ªÕ¹¸ûµØ×ÔÈ»ÖÊÁ¿ÆÀ¼Û

¡¡¡¡Ê×ÏÈҪѡȡ¸ûµØ×ÔÈ»ÖÊÁ¿ÆÀ¼ÛÖ¸±ê£¬ÆÀ¼ÛÖ¸±êÖ±½ÓÓ°ÏìÆÀ¼Û½á¹ûÕæÊµÐÔ¡¢ºÏÀíÐԺͿÆÑ§ÐÔ£¬ÆÀ¼ÛÖ¸±êÒªÇ󸲸ÇÃæÒª¹ã£¬Òª¶ÔÓ°Ïì¸ûµØÖÊÁ¿µÄÍÁÈÀÌõ¼þ¡¢Ë®ÎÄÌõ¼þ¡¢µØÐεØÃ²Ìõ¼þ¡¢ÍÁµØÀûÓÃÌõ¼þµÈ½øÐÐÈ«Ãæ¿Í¹ÛµØ·ÖÎö£¬×öµ½Ëù¿¼ÂÇÒòËØ¼È²»ÒÅ©£¬ÓÖ²»Öصþ¡£±¾Ñо¿½¨ÒéÔÚÖ¸±êѡȡ¹ý³ÌÖпÉÒÔ²ÎÕÕÒѾ­±»¹ã·ºÓ¦ÓõÄÅ©Óõطֵȳɹû£¬ÕâÑù¼È¼õÉÙÁ˲»±ØÒªµÄºÄ·Ñ£¬ÓÖ¼õÉÙÆÀ¼ÛÕßµÄÖ÷¹ÛÐÔ£¬Ê¹ÆÀ¼ÛÖ¸±êÄܹ»¿Í¹ÛµØ·´Ó³¸ûµØÖÊÁ¿Ë®Æ½¡£È»ºó½øÐÐÆÀ¼ÛÖ¸±êÌØÕ÷ÖµµÄÌáÈ¡¼°·Ö¼¶¸³Öµ£¬ÆÀ¼ÛÖ¸±êÌØÕ÷Öµ¿ÉÒÔ²ÎÕÕÍÁÈÀÆÕ²é×ÊÁÏ»òÕßµØÁ¦ÆÀ¼ÛÊý¾Ý»ñÈ¡£¬Ö¸±ê·Ö¼¶¸³Öµ¼°È¨ÖØ¿ÉÒÔ²ÉÓÃÌØ¶û·Ç·¨È·¶¨¡£×îºó½¨Á¢¸ûµØÖÊÁ¿ÆÀ¼ÛÄ£ÐÍ£¬¸ûµØÖÊÁ¿ÆÀ¼ÛÖÐͨ³£½¨Á¢×ÛºÏÖ¸ÊýÄ£ÐÍ£¬¸ÃÆÀ¼ÛÄ£ÐÍÌØµãÊÇÖ±¹Û£¬¼ÆËã½á¹û·´Ó³ÆÀ¼ÛÒòËØ×ÜÌåÌØÕ÷£¬¼ÆË㹫ʽΪ£º

¡¡¡¡ 

¡¡¡¡ÉÏÊö¹«Ê½ÖУºCij-µÚi¸öÆÀ¼Ûµ¥ÔªµÄ¸ûµØÖÊÁ¿Ö¸±ê×ÛºÏÆÀ¼Û·ÖÖµ£»Wij-µÚi¸öÆÀ¼Ûµ¥ÔªµÚj¸ö¸ûµØÖÊÁ¿Ö¸±êÆÀ¼ÛÒò×ÓµÄÈ¨ÖØ£»Fij-µÚi¸öÆÀ¼Ûµ¥ÔªµÚi¸ö¸ûµØÖÊÁ¿ÆÀ¼ÛÖ¸±êµÄ·ÖÖµ¡£

¡¡¡¡2¡¢¿ªÕ¹¸ûµØÁ¢µØÌõ¼þÆÀ¼Û

¡¡¡¡¸ûµØÁ¢µØÌõ¼þÊÇÖ¸³ý¸ûµØ×ÔÈ»ÖÊÁ¿Ìõ¼þÖ®Í⣬ӰÏì¸ûµØÓÀ¾ÃÎȶ¨ÐÔµÄÒ»ÇÐÍⲿ»·¾³Ìõ¼þ£¬°üÀ¨Éç»á¾­¼Ã·¢Õ¹Ñ¹Á¦¡¢¸ûµØÇøÎ»ÓÅÊÆÒÔ¼°×ÔÈ»¾°¹ÛµÈ»·¾³Ìõ¼þ¡£Á¢µØÌõ¼þÓ°Ïìµ½ÁË»ù±¾Å©ÌïÓëÉç»á·¢Õ¹µÄЭµ÷ÐÔ£¬Òò´ËÁ¢µØÌõ¼þÆÀ¼ÛÖ¸±êѡȡҪÒòµØÖÆÒË£¬¼ÈÒª¿¼ÂǸûµØÇøÎ»ÒòËØ£¬È罻ͨµÄ±ã½Ý¡¢Å©Ã³Êг¡µÄ·±»ªµÈÌõ¼þ£¬»¹Òª¿¼ÂǾ­¼Ã½¨ÉèÓõØÐèÇó£¬ÈçδÀ´³ÇÊз¢Õ¹¡¢ÏîÄ¿Â䵨¡¢µÀ·À©½¨µÈÒòËØÌõ¼þ£¬Í¬Ê±»¹Òª¿¼ÂÇ»ù±¾Å©ÌïËùÌØÓеľ°¹Û¼ÛÖµ¹¦ÄÜ£¬Èç³ÇÊмäµÄ¾°¹Û¸ôÀë´ø¡¢¾°¹ÛµÄÃÀѧ¹¦ÄܵÈ¡£ÕâÑùѡȡµÄÁ¢µØÌõ¼þÒòËØ¼È¿ÉÄÜÊÇÕýÏòÐÍÓ°ÏìÒòËØ£¬ÓÖÓпÉÄÜÊǸºÏòÐÍÓ°ÏìÒòËØ£¬Òò´ËµÀ·Á½²à»ò³ÇÊÐÖܱߵÄÓÅÖʸûµØ²»¿ÉÄÜ»áÈ«²¿»®Îª»ù±¾Å©ÌËüÊÇÊÜ×ÛºÏÁ¢µØÌõ¼þËù¾ö¶¨µÄ£¬±£ÕÏÁË»®¶¨µÄ»ù±¾Å©ÌïÓëÖÜΧÁ¢µØ»·¾³µÄЭµ÷ÐÔ¡£

¡¡¡¡Á¢µØÌõ¼þÓ°Ïì·ÖÖµ¿ÉÒÔ²ÉÓö¨Á¿ºÍ¶¨ÐÔ·½·¨È·¶¨£¬ÈçµÀ·¡¢Êг¡µÈÒòËØ£¬¿É»®·ÖΪµã×´¡¢Ïß×´ºÍÃæ×´ÒòËØ£¬²ÉÓÃÖ¸ÊýË¥¼õ·¨»òÖ±ÏßË¥¼õ·¨½øÐвâË㣬¶ø¾°¹Û¼ÛÖµ¹¦ÄܿɲÉÓÃר¼Ò×Éѯ·¨µÈ½øÐж¨ÐÔÑо¿²¢·Ö¼¶¸³Öµ¡£×îºó½¨Á¢×ÛºÏÖ¸ÊýÄ£ÐÍ£¬¿ªÕ¹¸ûµØÁ¢µØÌõ¼þÆÀ¼Û£¬¼ÆË㹫ʽΪ£º

¡¡¡¡ 

¡¡¡¡ÉÏÊö¹«Ê½ÖУºSij-µÚi¸öÆÀ¼Ûµ¥ÔªµÄ¸ûµØÁ¢µØÌõ¼þÖ¸±ê×ÛºÏÆÀ¼Û·ÖÖµ£»Wij-µÚi¸öÆÀ¼Ûµ¥ÔªµÚj¸ö¸ûµØÁ¢µØÌõ¼þÆÀ¼ÛÖ¸±êµÄÈ¨ÖØ£»Fij-µÚi¸öÆÀ¼Ûµ¥ÔªµÚj¸ö¸ûµØÁ¢µØÌõ¼þÆÀ¼ÛÖ¸±êµÄ·ÖÖµ¡£

¡¡¡¡3¡¢¿ªÕ¹¸ûµØÖÊÁ¿ÓëÁ¢µØÌõ¼þµÄ×ÛºÏÆÀ¼Û

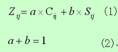
¡¡¡¡»ù±¾Å©Ìï»®¶¨ÖмÈÒª¿¼ÂǸûµØ×ÔÈ»ÒòËØÌõ¼þ£¬»¹Òª¿¼ÂǸûµØÁ¢µØ»·¾³ÒòËØÌõ¼þ£¬Í¨¹ý¸ûµØÖÊÁ¿ÆÀ¼Û¿ÉÒÔ¿ÆÑ§ÕÆÎÕ¸ûµØµÄ×ÔÈ»ÖÊÁ¿Ìõ¼þ£¬¶øÍ¨¹ý¸ûµØÁ¢µØÌõ¼þÆÀ¼Û¿ÉÒÔ¿ÆÑ§·ÖÎöÓ°Ïì¸ûµØÎȶ¨ÐÔµÄÍâ½ç»·¾³Ìõ¼þ£¬Òò´Ë¿ªÕ¹¸ûµØÖÊÁ¿ÆÀ¼ÛºÍÁ¢µØÌõ¼þÆÀ¼Û×ÛºÏÑо¿·ÖÎö£¬¼È¿ÉÒÔÁ˽âºÍÕÆÎÕ¸ûµØ×ÔÈ»ÖÊÁ¿£¬ÓÖ¿ÉÒÔÁ˽âºÍÕÆÎÕ¸ûµØÁ¢µØ»·¾³ÌØÕ÷£¬±£ÕÏÁË»®¶¨µÄ»ù±¾Å©Ìï¼È¾ßÓÐÁ¼ºÃµÄ×ÔÈ»ÖÊÁ¿Ìõ¼þ£¬ÓÖ¾ßÓÐÎȶ¨Ð­µ÷µÄÁ¢µØ»·¾³Ìõ¼þ¡£±¾Ñо¿ÖиûµØÖÊÁ¿ÓëÁ¢µØÌõ¼þ×ÛºÏÆÀ¼ÛÌåϵ¿ÉÒÔÓÉÏÂÁй«Ê½(1)(2)ÃèÊö¡£

¡¡¡¡ 

¡¡¡¡¹«Ê½ÖУ¬ZijΪ¸ûµØÖÊÁ¿ÓëÁ¢µØÌõ¼þ×ÛºÏÆÀ¼Û·ÖÖµ£¬CijΪ¸ûµØÖÊÁ¿ÆÀ¼Û·ÖÖµ£¬SijΪ¸ûµØÁ¢µØÌõ¼þÆÀ¼Û·ÖÖµ£¬aÓëbÎªÈ¨ÖØÖµ¡£

¡¡¡¡4¡¢½¨Á¢»ù±¾Å©Ìï»®¶¨±ê×¼

¡¡¡¡ÒÔ¸ûµØÖÊÁ¿ÓëÁ¢µØÌõ¼þ×ÛºÏÆÀ¼Û½á¹ûΪÒÀ¾Ý£¬Ñ¡Ôñ»ù±¾Å©Ìï»®¶¨µÄãÐÖµÁÙ½çµãÊǹؼüÎÊÌ⣬ͨ¹ý¶ÔÁÙ½çµã·¶Î§ÄÚ¸ûµØÖÊÁ¿Óë¸ûµØÁ¢µØÌõ¼þµÄ±ä»¯²îÒì·ÖÎö£¬¿ÉÒÔ½«¸ûµØÇø»®·ÖΪÏÖʵ»ù±¾Å©ÌïÇø¡¢Ç±ÔÚ»ù±¾Å©ÌïÇø¡¢½¨ÉèÓõØÔ¤ÁôÇøºÍµÍ²úÌï¸ÄÔì»òÉú̬Í˸ûÇø¡£ÏÖʵ»ù±¾Å©ÌïÇøÎªÓÅÖÊÎȶ¨µÄ¸ûµØ£¬Ç±ÔÚ»ù±¾Å©ÌïÇøÊÇÖ¸ÖÊÁ¿½Ï²î»ò¾ßÓÐÒ»¶¨µÄ²»ÎÈÐÔ£¬µ«Í¨¹ý×ÛºÏÕûÖοɷ¢Õ¹Îª»ù±¾Å©ÌïµÄ¸ûµØ£¬½¨ÉèÓõØÔ¤ÁôÇøÖ÷ҪΪÁ¢µØÌõ¼þ¼«Æä²»Îȶ¨µÄ¸ûµØ£¬¿É×÷Ϊ½¨ÉèÔ¤ÁôʹÓ㬵ͲúÌï¸ÄÔì»òÉú̬Í˸ûÇøÖ÷ҪΪ×ÔÈ»ÖÊÁ¿Ìõ¼þ¼«²îµÄ¸ûµØ¡£

Ïà¹ØÎĵµ
¡¡
֪ͨ¹«¸æ
ÍøÕ¾µ¼º½
×ÔÈ»×ÊÔ´²¿Öйú¿ÆÑ§¼¼ÊõЭ»áÖйú¹úÍÁ¿±²â¹æ»®Íø

Ö÷°ì£ºÖйúÍÁµØÑ§»á ¼¼ÊõÖ§³ÅºÍЭ°ì£º×ÔÈ»×ÊÔ´²¿ÐÅÏ¢ÖÐÐÄ

Copyright:emoji:1999-2013 All Rights Reserved °æÈ¨ËùÓУ¬Î´¾­ÊÚȨ£¬½ûÖ¹×ªÔØ

±¸°¸ÐòºÅ:¾©ICP±¸20024755ºÅ-1  ½¨ÒéʹÓÃIE9.0ÒÔÉÏä¯ÀÀÆ÷»ò¼æÈÝä¯ÀÀÆ÷£¬·Ö±æÂÊ1024*768